今天小编精心为大家整理了一些有关于浙江高考数学试卷2022真题模版内容,欢迎阅读和下载。
浙江高考数学试卷2022真题




2022年高考数学(浙江卷)答案
1-5:DBBAC
6-10:DCADB
11、

12、

13、

14、

15、

16、

17、

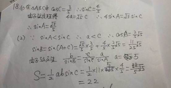
18、

19、

20、

21、

22、


今天小编精心为大家整理了一些有关于浙江高考数学试卷2022真题模版内容,欢迎阅读和下载。
浙江高考数学试卷2022真题




2022年高考数学(浙江卷)答案
1-5:DBBAC
6-10:DCADB
11、

12、

13、

14、

15、

16、

17、

18、

19、

20、

21、

22、

